Замена окон по результатам энергетического обследования |
|
|
|
|
29.2.2012, 16:02
|
Группа: Участники форума
Сообщений: 27
Регистрация: 11.1.2012
Пользователь №: 135515

|
Товарищи, энергоаудиторы! Помогите с предложением по замене оконных проемов. Что установить вместо имеющихся (в приложении)?
Эскизы прикрепленных изображений
|
|
|
|
|
|
|
 |
Ответов
(1 - 24)
|
|
29.2.2012, 16:14
|
Группа: Участники форума
Сообщений: 633
Регистрация: 17.12.2010
Пользователь №: 86468

|
А где окна? Вот это серое? Если это окно то, пускай кирпичём заложут. По светонаполнению помещения большой разницы не будет. Ну а если нужны именно окна то, гениальней пластиковых стеклопакетов пока еще ничего нет.
|
|
|
|
|
|
|
|
29.2.2012, 16:19
|
Группа: Участники форума
Сообщений: 27
Регистрация: 11.1.2012
Пользователь №: 135515

|
Да, с пропускной способностью света - проблема, но нужно оставить оконные проемы. Может есть какие-нибудь пластиковые конструкции с хорошей светопропускаемостью?
|
|
|
|
|
|
|
|
29.2.2012, 16:21
|
Группа: Участники форума
Сообщений: 1186
Регистрация: 11.4.2011
Пользователь №: 103012

|
Цитата(Evgen_0110 @ 29.2.2012, 17:19)  Да, с пропускной способностью света - проблема, но нужно оставить оконные проемы. Может есть какие-нибудь пластиковые конструкции с хорошей светопропускаемостью? У нормальных окон нормальная светопропускаемость. Ну или напишите в рекомендациях популярное "Помыть окна"
|
|
|
|
|
|
|
|
29.2.2012, 16:30
|
Группа: Участники форума
Сообщений: 633
Регистрация: 17.12.2010
Пользователь №: 86468

|
Цитата(Evgen_0110 @ 29.2.2012, 17:19)  Может есть какие-нибудь пластиковые конструкции с хорошей светопропускаемостью? есть.  я же вам написал "гениальней пластиковых стеклопакетов пока что ничего не изобрели"  Р.С. Проскочила мысля. Для такого "сарая" можно еще вот что предложить. Заложить окна, на крыше установить световые трубы(или короба). не помню как их правильно называют.
Сообщение отредактировал Timur63 - 29.2.2012, 16:33
|
|
|
|
|
|
|
|
29.2.2012, 16:36
|
инженер... оболтус :P
Группа: Участники форума
Сообщений: 9774
Регистрация: 11.12.2008
Из: Алабино
Пользователь №: 26597

|
Это же промздание? Смогут ли стеклопакеты выполнять функцию легкосбрасываемых конструкций? Если нет, то как предлагается выполнить взрывозащиту?
|
|
|
|
|
|
|
|
29.2.2012, 16:52
|
Группа: Участники форума
Сообщений: 633
Регистрация: 17.12.2010
Пользователь №: 86468

|
Цитата(timmy @ 29.2.2012, 17:36)  Это же промздание? Смогут ли стеклопакеты выполнять функцию легкосбрасываемых конструкций? Если нет, то как предлагается выполнить взрывозащиту? Вы первый кто озадачился таким вопросом. Заказывайте стеклопластик не из пуленепробиваемого стекла а из обычной троечки. Кстать вчера то новостям показали одного граматея ( по причине ЧП в Астрахани) который "толкал" мысль: У простых деревяных окошек при взрыве "вылетают" стекла. У пластиковых стеклопакетов стекла не "вылетают", они "вылетают" вместе со..........стеной!!!!!
|
|
|
|
|
|
|
|
29.2.2012, 17:12
|
инженер... оболтус :P
Группа: Участники форума
Сообщений: 9774
Регистрация: 11.12.2008
Из: Алабино
Пользователь №: 26597

|
у блоков из листового стекла и в самом деле при взрыве вылетают стекла. Причем стекло должно быть определенных размеров, будет меньше - будет сложнее разбить - будут более значительные разрушения внутри корпуса. Стеклопакеты в этом плане гораздо прочнее и поэтому их сложно применить на промобъекте. Т.е. в случае взрыва какого-то устройства внутри этого помещения, разрушений будет значительно больше. Ну и плюс при взрыве снаружи здания какой-нить адской машинки есть шансы, что обвалится часть стены, а не более дешевое остекление. Собсно потому и задал вопрос, что проект может не пройти экспертизу, а предложение будет отклонено как неосуществимое без нарушения требований по ГОиЧС
|
|
|
|
|
|
|
|
1.3.2012, 8:44
|
Группа: Участники форума
Сообщений: 140
Регистрация: 22.2.2011
Пользователь №: 95597

|
Цитата(Timur63 @ 29.2.2012, 16:30)  Р.С. Проскочила мысля. Для такого "сарая" можно еще вот что предложить. Заложить окна, на крыше установить световые трубы(или короба). не помню как их правильно называют. Зенитные фонари. Видел на заводе сименса - на вид обычные окна, только в крыше.
|
|
|
|
|
|
|
|
1.3.2012, 16:10
|
Группа: Участники форума
Сообщений: 27
Регистрация: 11.1.2012
Пользователь №: 135515

|
Ну вообще, это сотовый поликарбонат, из которого же делают зенитные фонари.
|
|
|
|
|
|
|
|
1.3.2012, 16:24
|
Группа: Участники форума
Сообщений: 633
Регистрация: 17.12.2010
Пользователь №: 86468

|
Цитата(Vito @ 1.3.2012, 9:44)  Зенитные фонари. Видел на заводе сименса - на вид обычные окна, только в крыше. я про световоды Solatube. это далеко не обычные окна.
|
|
|
|
|
|
|
|
1.3.2012, 17:21
|
инженер... оболтус :P
Группа: Участники форума
Сообщений: 9774
Регистрация: 11.12.2008
Из: Алабино
Пользователь №: 26597

|
Цитата(Timur63 @ 1.3.2012, 17:24)  я про световоды Solatube. это далеко не обычные окна. не надо эти окна трогать вообще. Висят и пусть дальше висят. А потери записать как вынужденные из соображений безопасности. И пока с безопасниками договориться не получится, даже и не думать про потери.
|
|
|
|
|
|
|
|
1.3.2012, 18:02
|
Группа: Участники форума
Сообщений: 633
Регистрация: 17.12.2010
Пользователь №: 86468

|
Цитата(timmy @ 1.3.2012, 18:21)  не надо эти окна трогать вообще. Висят и пусть дальше висят. А потери записать как вынужденные из соображений безопасности. И пока с безопасниками договориться не получится, даже и не думать про потери. Есть результаты взрывотехнической экспертизы пластиковых стеклопакетов и простых деревяных окошек ? Если нет то, низя и прочее, это размышление на свободную тему основанное на ИМХО (имею мнение хрен оспоришь).
|
|
|
|
|
|
|
|
1.3.2012, 19:20
|
инженер... оболтус :P
Группа: Участники форума
Сообщений: 9774
Регистрация: 11.12.2008
Из: Алабино
Пользователь №: 26597

|
Цитата(Timur63 @ 1.3.2012, 19:02)  Есть результаты взрывотехнической экспертизы пластиковых стеклопакетов и простых деревяных окошек ? Если нет то, низя и прочее, это размышление на свободную тему основанное на ИМХО (имею мнение хрен оспоришь). есть. На основании действующих правил безопасности легкосбрасываемыми конструкциями считаются листовые стекла толщиной 3, 4 и 5 мм. Более толстые стекла, равно как и армированные не считаются легкосбрасываемыми. Там еще от размера стекол есть зависимость. Где-то тут это обсуждалось с год назад примерно. Можно я только отправкой в правила безопасности ограничусь? Допустим ПБ 14-586-03Цитата 5.1.2. В помещениях категорий А и Б следует предусматривать наружные легкосбрасываемые ограждающие конструкции.
В качестве легкосбрасываемых конструкций следует, как правило, использовать остекление окон и фонарей. При недостаточной площади остекления допускается в качестве легкосбрасываемых конструкций использовать конструкции покрытий из стальных, алюминиевых и асбестоцементных листов и эффективного утеплителя. Площадь легкосбрасываемых конструкций следует определять расчетом. При отсутствии расчетных данных площадь легкосбрасываемых конструкций должна составлять не менее 0,05 м2 на 1 м3 объема помещения категории А и не менее 0,03 м2 - помещения категории Б.
Примечания: 1. Оконное стекло относится к легкосбрасываемым конструкциям при толщине 3, 4 и 5 мм и площади не менее (соответственно) 0,8; 1 и 1,5 м2. Армированное стекло к легкосбрасываемым конструкциям не относится. 2. Рулонный ковер на участках легкосбрасываемых конструкций покрытия следует разрезать на карты площадью не более 180 м2 каждая.
3. Расчетная нагрузка от массы легкосбрасываемых конструкций покрытия должна составлять не более 0,7 кПа (70 кгс/м2).
|
|
|
|
|
|
|
|
2.3.2012, 7:41
|
Группа: Участники форума
Сообщений: 633
Регистрация: 17.12.2010
Пользователь №: 86468

|
Цитата(timmy @ 1.3.2012, 20:20)  есть. На основании действующих правил безопасности легкосбрасываемыми конструкциями считаются листовые стекла толщиной 3, 4 и 5 мм. Более толстые стекла, равно как и армированные не считаются легкосбрасываемыми. Там еще от размера стекол есть зависимость. Где-то тут это обсуждалось с год назад примерно. Можно я только отправкой в правила безопасности ограничусь? Допустим ПБ 14-586-03[/sub] Вы у себя в офисе на окошко посмотрите. У вас пластиковое окно со стеклопакетом. Стеклопакет состоит из 3-х мм двух стекл. Обычное(стандартное общепринятое) деревянное окно состоит тоже из двух 3-х мм стекл. Обычное остекление цехов, производственных помещений (с совковых времен) состоит из деревяных оконых конструкций несущих в себе два 3-х мм стекла(бывает два 4-х или 5-и мм).
|
|
|
|
|
|
|
|
2.3.2012, 12:41
|
инженер... оболтус :P
Группа: Участники форума
Сообщений: 9774
Регистрация: 11.12.2008
Из: Алабино
Пользователь №: 26597

|
Ну во-первых пластиковые окна со стеклопакетом мы поставили, потому что старые оконные блоки менять пришлось, а деревянные окна как бы дороже стоили. Но это в общем то и не важно. Офис и промка это несколько разные типы зданий. Мне так кажется. К ним применяются разные требования. Стеклопакет это не легкосбрасываемая конструкция, он более прочный, чем одинарное листовое стекло. Я не в состоянии по внешнему виду окна понять, что за помещение будет, потому и сомневаюсь, что решение можно осуществить.
|
|
|
|
|
|
|
|
27.4.2012, 16:02
|
Группа: Участники форума
Сообщений: 38
Регистрация: 6.4.2012
Пользователь №: 146536

|
Как рассчитать экономию от замены окон не по процентовке? подскажите, плз
Сообщение отредактировал kvm_auditor - 28.4.2012, 4:47
Причина редактирования: Пост не содержит вопроса в связи с переносом в нужную тему
|
|
|
|
|
|
|
|
27.4.2012, 17:24
|
инженер... оболтус :P
Группа: Участники форума
Сообщений: 9774
Регистрация: 11.12.2008
Из: Алабино
Пользователь №: 26597

|
Никак. Со старыми окнами теплопотери были такими, после замены станут такими. Годовой ихфект такой, а стоит столько. Псё.
|
|
|
|
|
|
|
|
22.5.2012, 15:50
|
Группа: Участники форума
Сообщений: 34
Регистрация: 8.2.2012
Пользователь №: 139268

|
ИМХО Предложите как вариант плёнку ПВХ на стекла. Где то нашёл в инете, что экономит до 20 %, состоит из слоёв, один из слоя - состоит из молекул металла, ну или что то вроде того, сейчас уже не помню. По прозрачности там тоже разные показатели этой плёнки есть, с прозрачностью до 90% стоит где-то 1500 м.кв.
|
|
|
|
|
|
|
|
22.5.2012, 16:45
|
Группа: Участники форума
Сообщений: 309
Регистрация: 4.4.2011
Пользователь №: 101702

|
Есть такая плёнка в Томске плёнку делали в Институте сильноточной электроники для опытных образцов... А вот на стёкла они давно напыляли медь (помойму) и в аэропорт продавали. Реально помогает. Вот в процентах не знаю сколько поможет.
|
|
|
|
|
|
|
|
24.5.2012, 21:48
|
Группа: Участники форума
Сообщений: 27
Регистрация: 19.8.2011
Пользователь №: 119069

|
ИМХО, с окнами нужно решиь оптимизационную задачу: критерий - минимум затрат на энергию (электро+тепло). Крайности: 1 - Окон нет совсем (заложены кирпичом) - расход тепла минимален, на свет - максимален. 2 - Стены - сплошные окна: расход на освещение минимален, на тепло - максимален. Истина где-то между
|
|
|
|
|
|
|
|
25.5.2012, 5:22
|
Группа: Участники форума
Сообщений: 1527
Регистрация: 5.1.2010
Из: Белгород
Пользователь №: 43680

|
Цитата(kaifsheg @ 22.5.2012, 17:45)  Есть такая плёнка в Томске .... У нас корейскую продают - KorQu. Основа не ПВХ (они быстро в негодность приходят), а керамическая. Я затонировал такой пленкой машину (спереди прозрачная, сзади затемненная), солнце заметно меньше печет. По логике и зимой меньше потери )))).
|
|
|
|
|
|
|
|
5.6.2012, 8:41
|
Группа: New
Сообщений: 8
Регистрация: 30.1.2012
Пользователь №: 137939

|
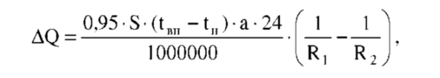
Цитата(kate_sm @ 27.4.2012, 17:02)  Как рассчитать экономию от замены окон не по процентовке? подскажите, плз  мы считаем вот по этой формуле. с коэффициентами разберетесь площадь остекленения средняя температура внутри помещения средняя температура наружного воздуха за отопительный период продолжительность отопительного периода, сутки сопротив теплопередачи до реконструкции сопротив теплопередачи после реконструкции
Эскизы прикрепленных изображений
|
|
|
|
|
|
|
|
6.6.2012, 3:31
|
Группа: Участники форума
Сообщений: 1527
Регистрация: 5.1.2010
Из: Белгород
Пользователь №: 43680

|
Цитата(musatov @ 5.6.2012, 9:41)  мы считаем вот по этой формуле. Если ставить окна с селективным (низкоэмиссионным) покрытием, еще необходимо учитывать снижение прихода теплоты в помещения от солнечной радиации (для простоты можно цифру просто уполовинить). Эффект будет немного меньше.
|
|
|
|
|
|
|
|
6.6.2012, 15:44
|
Группа: Участники форума
Сообщений: 27
Регистрация: 19.8.2011
Пользователь №: 119069

|
Гм.. даже если не уполовинивать цифру, то экономия по снижению потерь теплопроводностью дает сроки окупаемости от 20 лет Здесь не учитывается, что старые окна помимо R ещё имеют неплотности --> инфильтрацию
|
|
|
|
|
|
|
  |
2 чел. читают эту тему (гостей: 2, скрытых пользователей: 0)
Пользователей: 0
|
|
Реклама
ООО «Арктика групп» ИНН: 7713634274
Реклама: ООО «СибСтронг» | ИНН 6670013662 | ERID: 2VtzqvdgiCU
ООО «УНИСПЛИТ» ИНН: 6453155081 erid:2VtzqwWc8XB
Реклама: ООО «СЛ-ЛАЗЕР» ИНН 7727447267 | erid: 2VtzqvEDgM7
Последние сообщения Форума
|