Реклама / ООО «ИЗОЛПРОЕКТ» / ИНН: 7725566484 | ERID: 2VtzqvfExCR
IPB IPB
Проектирование, монтаж, наладка, сервис


Здравствуйте, гость ( Вход | Регистрация )

- Стандарт НП «АВОК» 7.11-2024
«Рекомендации по проектированию инженерных систем
дошкольных образовательных организаций»

АВОК в соц. сетях
ИНН: 7714824045 | erid: 2VtzqwzKQiU
 
Добавить ответ в эту темуОткрыть тему
> Тепловой расчет мазутопровода, Очень срочно помогите пожалуйста
RockeS
сообщение 20.6.2016, 12:39
Сообщение #1





Группа: New
Сообщений: 3
Регистрация: 20.6.2016
Пользователь №: 299707



Нужно произвести тепловой рассчет мазуто провода длинной 500м. Марка мазута М-100. Недостающие данные можно взять любые. Ниже прикрепляю данные и формулу

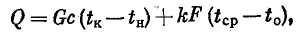
. Основная цель теплового расчета — определение количества тепла Q, необходимого для осуществления заданного режима перекачки.
Для любой системы трубопроводов, в которых происходит тепловое взаимодействие, может быть записано уравнение теплового баланса

где G — весовой расход нефтепродукта в трубопроводе в кг/ч; с — удельная теплоемкость в Дж/(кг·°С), tн и tк - температуры в начале и в конце нефтепровода в °С; k— полный коэффициент теплопередачи от нефтепродукта в окружающую среду в Дж/(м2·ч·°С); F - боковая поверхность трубопроводов м2; tcp — средняя температура нефтепродукта в трубопроводе в °С; tо — температура окружающей среды в °С.
Обычно для тепловых расчетов величинами G, с, F, tн иtо задаются, а по тому решение уравнения сводится к определениюk иtк.
Данные :G=800кг/ч; tн=30°С; tк=80°С; F=200 м2 ; tcp=40; tо= -40°С
с=?; k=?


Эскизы прикрепленных изображений
Прикрепленное изображение
 
Вернуться в начало страницы
 
+Ответить с цитированием данного сообщения
shadow
сообщение 20.6.2016, 13:28
Сообщение #2





Группа: Участники форума
Сообщений: 1495
Регистрация: 23.6.2008
Из: г. Магнитогорск
Пользователь №: 19983



"Типовые расчеты при проектировании нефтебаз" Тугинов П.И. 2002
Вернуться в начало страницы
 
+Ответить с цитированием данного сообщения
T-rex
сообщение 20.6.2016, 14:13
Сообщение #3





Группа: Участники форума
Сообщений: 1678
Регистрация: 15.9.2012
Пользователь №: 163378



Как так? В начале 30 градусов, а в конце 80? По пути подогрев идет что ли? И как при этом получилась средняя температура равна 40? Для каких целей расчет нужен? Если это курсовая - просто купите расчет. Если для ориентировочных прикидов просто возьмите рассеивание от гладкой трубы в атмосферу - примерное Q получите (раз окружающую минус 40 берете, то труба не в грунте же?)
Вернуться в начало страницы
 
+Ответить с цитированием данного сообщения
RockeS
сообщение 20.6.2016, 15:22
Сообщение #4





Группа: New
Сообщений: 3
Регистрация: 20.6.2016
Пользователь №: 299707



Да подогрев идет
Вернуться в начало страницы
 
+Ответить с цитированием данного сообщения
lovial
сообщение 20.6.2016, 16:50
Сообщение #5





Группа: Участники форума
Сообщений: 2233
Регистрация: 8.7.2008
Из: Днепропетровск
Пользователь №: 20416



Цитата(RockeS @ 20.6.2016, 12:39) *
Данные :G=800кг/ч; tн=30°С; tк=80°С; F=200 м2 ; tcp=40; tо= -40°С
с=?; k=?

с - удельная теплоемкость мазута, в справочниках искать. к - величина, обратная R, про Rчитаем по запросу "передача тепла через стенку трубы". Там вылезут альфы - от стенки к мазуту и от стенки к воздуху. По первой точно ничего не скажу, надо рыть спецлитературу, сдается мне, что она от температуры мазута зависеть будет через вязкость...
Вернуться в начало страницы
 
+Ответить с цитированием данного сообщения
T-rex
сообщение 20.6.2016, 17:49
Сообщение #6





Группа: Участники форума
Сообщений: 1678
Регистрация: 15.9.2012
Пользователь №: 163378



Цитата(RockeS @ 20.6.2016, 15:22) *
Да подогрев идет

За счет чего подогрев, если температура окружающей среды минус 40

Теплоёмкости нефтяных фракций - смотрите карманный справочник нефтепереработчика М.Г. Рудин
Вернуться в начало страницы
 
+Ответить с цитированием данного сообщения
RockeS
сообщение 21.6.2016, 20:24
Сообщение #7





Группа: New
Сообщений: 3
Регистрация: 20.6.2016
Пользователь №: 299707



спасибо всем разобрался тему можно закрыть
Вернуться в начало страницы
 
+Ответить с цитированием данного сообщения

Добавить ответ в эту темуОткрыть тему
1 чел. читают эту тему (гостей: 1, скрытых пользователей: 0)
Пользователей: 0

 

Реклама
ООО «Арктика групп» ИНН: 7713634274




Реклама: ООО «СибСтронг» | ИНН 6670013662 | ERID: 2VtzqvdgiCU

ООО «УНИСПЛИТ» ИНН: 6453155081 erid:2VtzqwGt2gw
Реклама: ООО «СЛ-ЛАЗЕР» ИНН 7727447267 | erid: 2VtzqvY3G2W

Реклама: ООО «НовоКС» | ИНН 6330071530 | erid: 2VtzqwMVijq
Последние сообщения Форума






RSS Текстовая версия Сейчас: 30.11.2025, 5:23
Политика ООО ИИП «АВОК-ПРЕСС» в отношении обработки персональных данных