Реклама / ООО «ИЗОЛПРОЕКТ» / ИНН: 7725566484 | ERID: 2VtzqvfExCR
IPB IPB
Проектирование, монтаж, наладка, сервис


Здравствуйте, гость ( Вход | Регистрация )

- Стандарт НП «АВОК» 7.11-2024
«Рекомендации по проектированию инженерных систем
дошкольных образовательных организаций»

АВОК в соц. сетях
ИНН: 7714824045 | erid: 2VtzqwzKQiU
 
Добавить ответ в эту темуОткрыть тему
> Двухтрубная, сверху - вверх
miha25
сообщение 20.4.2012, 16:20
Сообщение #1





Группа: Участники форума
Сообщений: 64
Регистрация: 23.10.2010
Из: г. Рыбинск
Пользователь №: 77758



Извините, возможно тема для песочницы. Хочу сделать такую систему. Примеров не нашел. Возможно так сделать? Объект школа. Причина: не хочу штробить пол.
И еще спор был с ГИПом по поводу труб РР или металл. Я за сталь.
Прикрепленный файл  2.pdf ( 45,63 килобайт ) Кол-во скачиваний: 410

Спасибо заранее.

Сообщение отредактировал miha25 - 20.4.2012, 16:24
Вернуться в начало страницы
 
+Ответить с цитированием данного сообщения
BIONDER
сообщение 20.4.2012, 16:50
Сообщение #2





Группа: Участники форума
Сообщений: 1075
Регистрация: 14.12.2009
Из: Москва
Пользователь №: 42437



можно вполне, у вас же не гравитационка.
Вернуться в начало страницы
 
+Ответить с цитированием данного сообщения
jota
сообщение 20.4.2012, 17:00
Сообщение #3





Группа: Участники форума
Сообщений: 20902
Регистрация: 8.8.2007
Из: Vilnius
Пользователь №: 10542



На каждом стояке внизу придётся предусмотреть слив. На магистралях наверху - воздухоотводчики.
Если магистрали в неотапливаемом чердаке - нехорошо, большие потери и воздушники могут замёрзнуть....
Вернуться в начало страницы
 
+Ответить с цитированием данного сообщения
испытатель
сообщение 20.4.2012, 17:18
Сообщение #4





Группа: Участники форума
Сообщений: 7297
Регистрация: 27.5.2007
Пользователь №: 8854



Почитайте по крышным котельным- там обобщается опыт подобной разводки.
Вернуться в начало страницы
 
+Ответить с цитированием данного сообщения
miha25
сообщение 20.4.2012, 23:29
Сообщение #5





Группа: Участники форума
Сообщений: 64
Регистрация: 23.10.2010
Из: г. Рыбинск
Пользователь №: 77758



Цитата
можно вполне, у вас же не гравитационка.

Я так и думал, но примеров не нашел и решил обратиться к старшим товарищам)
Цитата
На каждом стояке внизу придётся предусмотреть слив.

А радиатор в качестве слива не пойдет?
Цитата
большие потери и воздушники могут замёрзнуть

Утепление сделаю, а с воздушниками как быть? Я планировал поставить краны, может быть какие то автоматические есть? Я думал краны не замерзнут.
Цитата
Почитайте по крышным котельным

Спасибо почитаю.
Про материал труб: боюсь вандализма, поэтому сталь.

И для опыта: какую систему вы бы сделали в школе 3 этажа + чердак. 3 литеры в форме П.
Вернуться в начало страницы
 
+Ответить с цитированием данного сообщения
москвич
сообщение 21.4.2012, 21:13
Сообщение #6





Группа: New
Сообщений: 7
Регистрация: 5.4.2011
Пользователь №: 101919



вандализма боитесь,а термостаты-первая мишень
Вернуться в начало страницы
 
+Ответить с цитированием данного сообщения
miha25
сообщение 22.4.2012, 22:38
Сообщение #7





Группа: Участники форума
Сообщений: 64
Регистрация: 23.10.2010
Из: г. Рыбинск
Пользователь №: 77758



Цитата
вандализма боитесь,а термостаты-первая мишень

Да где то была тема по этому поводу. Съемные головки регулировочные помогут говорят.
Вернуться в начало страницы
 
+Ответить с цитированием данного сообщения
Август
сообщение 23.4.2012, 8:59
Сообщение #8





Группа: Участники форума
Сообщений: 475
Регистрация: 1.11.2006
Из: урал
Пользователь №: 4547



Цитата(miha25 @ 20.4.2012, 16:20) *
И еще спор был с ГИПом по поводу труб РР или металл. Я за сталь.

температурный график какой? эти трубы при 80С мало стоят + компенсаторы. Лучше стояки металл, а полипропилен на подводке к радиаторам и зашить (шоб не ковыряли), хотя если польётся то с потолка на головы детям. Лучше всё металл.
У вас экспертиза будет?
Вернуться в начало страницы
 
+Ответить с цитированием данного сообщения
miha25
сообщение 24.4.2012, 6:51
Сообщение #9





Группа: Участники форума
Сообщений: 64
Регистрация: 23.10.2010
Из: г. Рыбинск
Пользователь №: 77758



График 95/70. Экспертиза конечно будет.
Вернуться в начало страницы
 
+Ответить с цитированием данного сообщения
miha25
сообщение 27.4.2012, 17:55
Сообщение #10





Группа: Участники форума
Сообщений: 64
Регистрация: 23.10.2010
Из: г. Рыбинск
Пользователь №: 77758



Наврал, 115/70.
Вернуться в начало страницы
 
+Ответить с цитированием данного сообщения
exe.34
сообщение 28.4.2012, 8:50
Сообщение #11





Группа: Участники форума
Сообщений: 274
Регистрация: 29.6.2009
Пользователь №: 35399



Цитата(miha25 @ 27.4.2012, 18:55) *
Наврал, 115/70.

это у вас во внутрянке такой график? Не думаю , что пройдете экспертизу см. приложение Б СНиП 41-01-2003
Вернуться в начало страницы
 
+Ответить с цитированием данного сообщения
miha25
сообщение 28.4.2012, 15:50
Сообщение #12





Группа: Участники форума
Сообщений: 64
Регистрация: 23.10.2010
Из: г. Рыбинск
Пользователь №: 77758



Цитата
это у вас во внутрянке такой график?

Нет. Внутрянка 95/70.
Вернуться в начало страницы
 
+Ответить с цитированием данного сообщения
SHULT
сообщение 2.5.2012, 11:28
Сообщение #13





Группа: Участники форума
Сообщений: 266
Регистрация: 27.10.2010
Из: Калуга
Пользователь №: 78404



в дошкольных по темпиратурному графику почитайте СанПиН 2.4.1.2660-10 Дошкольные учереждения
Вернуться в начало страницы
 
+Ответить с цитированием данного сообщения
alexxthrfccs
сообщение 3.5.2012, 20:36
Сообщение #14





Группа: Участники форума
Сообщений: 22
Регистрация: 10.8.2010
Пользователь №: 67820



95 град. не лучшая температура для ПП. Я за сталь, да и не будет мороки с термокомпенсацией. С такими схемами не работал, но под принудиловку не вижу ничего страшного.
Вернуться в начало страницы
 
+Ответить с цитированием данного сообщения
miha25
сообщение 15.5.2012, 9:01
Сообщение #15





Группа: Участники форума
Сообщений: 64
Регистрация: 23.10.2010
Из: г. Рыбинск
Пользователь №: 77758



Опыта мало-мало, объект серьезный, сроку 15 дней было (сейчас переправляю для монтажников).
Сомнения у меня как это будет работать. Все таки дети, не ошпарить бы.
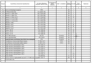
Посмотрите, кому не лень, ИТП. Первый раз делаю закрытую систему. Теплообменники вызывают сомнения.
Прикрепленное изображение

Прикрепленное изображение

Прикрепленное изображение

Прикрепленное изображение

Прикрепленное изображение

Прикрепленное изображение

нагрузка системы отопления 300 кВт;
нагрузка системы вентиляции 25 кВт;
нагрузка системы ГВС 90 кВт.
ГВС двухступенчатая
Тип теплообменника: Пластинчатый разборный теплообменник
Тепловая нагрузка: 90: кВт
Греющая сторона
Тип греющей среды: Вода
Температура среды на входе в ПТО: 130
Температура среды на выходе из ПТО: 70
Нагреваемая сторона
Тип нагреваемой среды: Вода
Температура среды на входе в ПТО: 5
Температура среды на выходе в ПТО: 55
Максимальный часовой расход воды 0,7 м3/ч
Вот что прислали:
Прикрепленный файл  _______6940.pdf ( 459 килобайт ) Кол-во скачиваний: 1116

Прикрепленный файл  _______6973.pdf ( 427,26 килобайт ) Кол-во скачиваний: 1524

Вернуться в начало страницы
 
+Ответить с цитированием данного сообщения
KYV86
сообщение 15.5.2012, 11:30
Сообщение #16





Группа: Участники форума
Сообщений: 485
Регистрация: 24.8.2011
Из: г. Уфа
Пользователь №: 119443



В принципе на такую нагрузку ТО нормальны. Только 90 кВт на ГВС это максимальная суточная или средняя? На однолинейной схеме ГВС отсутствует циркуляционная линия. Она планируется? Или разводка будет тупиковая?
Вернуться в начало страницы
 
+Ответить с цитированием данного сообщения
miha25
сообщение 15.5.2012, 14:32
Сообщение #17





Группа: Участники форума
Сообщений: 64
Регистрация: 23.10.2010
Из: г. Рыбинск
Пользователь №: 77758



90 кВт получилось по формуле 11 СНиП 2,04,01-85* "Внутренний водопровод и канализация зданий" тепловой поток максимального водопотребления на нужды горячего водоснабжения в течение часа максимального потребления.
Циркуляция есть, забыл указать на схеме (подключение после первой ступени с обратным клапаном).

Сообщение отредактировал miha25 - 15.5.2012, 14:34
Вернуться в начало страницы
 
+Ответить с цитированием данного сообщения

Добавить ответ в эту темуОткрыть тему
1 чел. читают эту тему (гостей: 1, скрытых пользователей: 0)
Пользователей: 0

 

Реклама
ООО «Арктика групп» ИНН: 7713634274




Реклама: ООО «СибСтронг» | ИНН 6670013662 | ERID: 2VtzqvdgiCU

ООО «УНИСПЛИТ» ИНН: 6453155081 erid:2VtzqwGt2gw
Реклама: ООО «СЛ-ЛАЗЕР» ИНН 7727447267 | erid: 2VtzqvY3G2W

Реклама: ООО «НовоКС» | ИНН 6330071530 | erid: 2VtzqwMVijq
Последние сообщения Форума






RSS Текстовая версия Сейчас: 30.11.2025, 6:34
Политика ООО ИИП «АВОК-ПРЕСС» в отношении обработки персональных данных