Реклама / ООО «ИЗОЛПРОЕКТ» / ИНН: 7725566484 | ERID: 2VtzqvfExCR
IPB IPB
Проектирование, монтаж, наладка, сервис


Здравствуйте, гость ( Вход | Регистрация )

- Стандарт НП «АВОК» 7.11-2024
«Рекомендации по проектированию инженерных систем
дошкольных образовательных организаций»

АВОК в соц. сетях
ИНН: 7714824045 | erid: 2VtzqwzKQiU
 
Добавить ответ в эту темуОткрыть тему
> расчет температурного графика, как определять t3р?
sysrqbreak
сообщение 26.4.2016, 9:15
Сообщение #1





Группа: Участники форума
Сообщений: 96
Регистрация: 18.5.2011
Пользователь №: 108385



разбираюсь с расчетом температурного графика по методике "Манюк наладка и эксплуатация ТС" не могу разобраться в следующих вопросах:

1. Как правильно строить график качественного регулирования для источника тепла? (я так понимаю нужно выбрать самый отдаленный объект, рассчитать для него график и с учетом тепловых потерь по теплотрассе рассчитать график подачи тепла для источника?)

2. На прикрепленном рисунке (скрин из книжки "Манюк наладка и эксплуатация ТС" страница 155) я красным отметил t3p и t2р как их определять? (по ниже приведенным таблицам?)

3. Подскажите ХОРОШИЕ понятные книги, методички по наладке тепловых сетей, окромя Манюка и Апарцева

спасибо
Эскизы прикрепленных изображений
Прикрепленное изображение
 
Вернуться в начало страницы
 
+Ответить с цитированием данного сообщения
tiptop
сообщение 26.4.2016, 10:31
Сообщение #2


сам себе Sapiens


Группа: Участники форума
Сообщений: 11390
Регистрация: 21.5.2005
Из: г. Владимир
Пользователь №: 797



Цитата(sysrqbreak @ 26.4.2016, 9:15) *
я так понимаю нужно выбрать самый отдаленный объект, рассчитать для него график

Может быть, считать так, что у БЛИЖАЙШЕГО потребителя будет выполняться его расчётный отопительный график (требуемый), а для сохранения у других потребителей средней температуры отопительных приборов ввести добавки к расчётным расходам теплоносителя?
Вернуться в начало страницы
 
+Ответить с цитированием данного сообщения
Алексей_76
сообщение 28.4.2016, 17:46
Сообщение #3





Группа: New
Сообщений: 3
Регистрация: 11.4.2013
Пользователь №: 189000



Добрый день!

А для какой цели Вам нужен этот расчет?

Температурный график для потребителя может быть какой угодно. Это зависит от того, к какому источнику теплоснабжения Вы собираетесь подключаться. Исходя из температурного графика источника подбирается соответствующее оборудование ИТП. Главное, чтобы температура теплоносителя для подачи во внутридомовую систему не превышала 95 гр.С.

Что касается температурного графика источника, то он выбирается из технико- экономических соображений.


Сообщение отредактировал Алексей_76 - 28.4.2016, 17:56
Вернуться в начало страницы
 
+Ответить с цитированием данного сообщения
sysrqbreak
сообщение 29.4.2016, 8:00
Сообщение #4





Группа: Участники форума
Сообщений: 96
Регистрация: 18.5.2011
Пользователь №: 108385



Цитата(Алексей_76 @ 28.4.2016, 17:46) *
Добрый день!

А для какой цели Вам нужен этот расчет?

Температурный график для потребителя может быть какой угодно. Это зависит от того, к какому источнику теплоснабжения Вы собираетесь подключаться. Исходя из температурного графика источника подбирается соответствующее оборудование ИТП. Главное, чтобы температура теплоносителя для подачи во внутридомовую систему не превышала 95 гр.С.

Что касается температурного графика источника, то он выбирается из технико- экономических соображений.


Необходимо провести обследование и наладку тепловой сети (небольшой, тупиковой), при этом нужно построить температурный график для источника, в отчете соответственно нужно показать расчет температурного графика, что б гл. инженер когда будет утверждать видел, что цифры взяты не со старого графика и не из головы, а получены расчетным путем при этом нужно указать источники литературы (книги, методики).

Потребители - производственные и административные здания без ИТП (обычные тепловые узлы, некоторые с элеваторами и теплообменниками ГВС)

Можете прокомментировать приложенную картинку она взята из методики "Наладка и эксплуатация водяных тепловых сетей: Справочник / В.И. Манюк, Я.И. Каплинский, Э.Б. Хиж и др. – 3-е изд., перераб. и доп. – М.: Издательство стандартов, 1998" не могу разобраться откуда взяты эти значения t2p и t3p?

Сообщение отредактировал sysrqbreak - 29.4.2016, 8:01
Вернуться в начало страницы
 
+Ответить с цитированием данного сообщения
Алексей_76
сообщение 29.4.2016, 15:42
Сообщение #5





Группа: New
Сообщений: 3
Регистрация: 11.4.2013
Пользователь №: 189000



По поводу скрина из справочника В.И. Манюка:
По данному вопросу можете также посмотреть книгу Н.М. Зингера «Гидравлические и тепловые режимы теплофикационных систем» , глава 13, в которой приводятся расчетные формулы. Обычно, при качественном регулировании отпуска теплоты и зависимом присоединении отопительных систем, Т3р = 95°С, Т2р = 70°С. Для построения температурного графика есть программы в формате Excel, которые можно легко найти.
Что касается непосредственно Вашей задачи по проведению наладки тепловой сети и определению температурного графика, то начать можно с этого:
- провести обследование источника теплоснабжения и выяснить проектный температурный график исходя из установленного оборудования или технической документации
- определить суммарный расход сетевой воды исходя из тепловых нагрузок потребителей и проектного температурного графика
- составить схему тепловой сети и выполнить ее гидравлический расчет для определения потерь напора в трубопроводах
- на основании результатов гидравлического расчета задать оптимальный гидравлический режим работы источника
-выяснить характеристику установленного на источнике сетевого насоса (или группы параллельно работающих насосов) для определения возможности обеспечения заданного гидравлического режима (подача и напор).
Вернуться в начало страницы
 
+Ответить с цитированием данного сообщения
tiptop
сообщение 29.4.2016, 16:55
Сообщение #6


сам себе Sapiens


Группа: Участники форума
Сообщений: 11390
Регистрация: 21.5.2005
Из: г. Владимир
Пользователь №: 797



Цитата(sysrqbreak @ 29.4.2016, 8:00) *
здания без ИТП (обычные тепловые узлы, некоторые с элеваторами и теплообменниками ГВС)

"тепловые узлы" - есть, а ИТП нет... smile.gif
Если серьёзно, то Татьяна Удальцова:"Надо забыть слова "тепловой узел"


Цитата(Алексей_76 @ 29.4.2016, 15:42) *
начать можно с этого:
- провести обследование

Ваш покорный слуга когда-то собирал ответы на следующие вопросы:

Сведения о наружной водяной тепловой сети, необходимые для разработки мероприятий по её регулировке (предоставляются заказчиком исполнителю до начала выполнения работ)

1 преобладающий способ прокладки сети (надземный, бесканальный и т.п.),
2 теплопотери через изоляцию трубопроводов в сети ( доля от мощности, отпускаемой котельной), %,
3 список всех потребителей тепла котельной, в котором для каждого потребителя указаны:
- схема ИТП,
- тепловая нагрузка горячего водоснабжения,
- тип, количество, продолжительностью эксплуатации теплообменников,
- тепловая нагрузка отопления,
- число отапливаемых этажей (или высота системы отопления, м),
- геодезическая отметка,
- расчётный располагаемый напор для системы отопления (или фактически требуемый),
4 схема теплосети с наружными диаметрами, толщинами стенок и длинами трубопроводов, продолжительности эксплуатации трубопроводов,
5 наименование принятого температурного графика теплоснабжения (”95-70”, ”105-70” и т.п.),
6 объём воды в системе теплоснабжения,
7 геодезическая отметка котельной,
8 ”ТМ”- схема трубопроводов котельной,
9 типы, гидравлическое сопротивление теплообменников ( указать, при каком расходе воды),
10 типы, основные параметры (напор, подача, частота вращения, мощность, количество) подпиточных и сетевых насосов, их электродвигателей.

Сообщение отредактировал tiptop - 29.4.2016, 16:58
Вернуться в начало страницы
 
+Ответить с цитированием данного сообщения
sysrqbreak
сообщение 6.5.2016, 7:38
Сообщение #7





Группа: Участники форума
Сообщений: 96
Регистрация: 18.5.2011
Пользователь №: 108385



Пока отвечу сам себе но может кому тож понадобится:

http://www.bestreferat.ru/referat-377915.html

пока не разобрался как разберусь до конца отпишусь
Вернуться в начало страницы
 
+Ответить с цитированием данного сообщения
std21667
сообщение 6.5.2016, 8:45
Сообщение #8





Группа: Участники форума
Сообщений: 25
Регистрация: 19.2.2011
Пользователь №: 95281



Цитата(sysrqbreak @ 26.4.2016, 9:15) *
3. Подскажите ХОРОШИЕ понятные книги, методички по наладке тепловых сетей, окромя Манюка и Апарцева

Книги, в которых приведены методики построения температурных графиков:
1. Николаев А.А. Справочник проектировщика. Проектирование тепловых сетей.
2. Соколов Е.Я. Теплофикация и тепловые сети.
Вернуться в начало страницы
 
+Ответить с цитированием данного сообщения
sysrqbreak
сообщение 12.5.2016, 6:34
Сообщение #9





Группа: Участники форума
Сообщений: 96
Регистрация: 18.5.2011
Пользователь №: 108385



Цитата(std21667 @ 6.5.2016, 8:45) *
Книги, в которых приведены методики построения температурных графиков:
1. Николаев А.А. Справочник проектировщика. Проектирование тепловых сетей.
2. Соколов Е.Я. Теплофикация и тепловые сети.


спасибо

ну и для ищущих инфу как и я
Прикрепленные файлы
Прикрепленный файл  ____36_68_82.doc ( 492 килобайт ) Кол-во скачиваний: 1163
 
Вернуться в начало страницы
 
+Ответить с цитированием данного сообщения
mdi-29
сообщение 12.5.2016, 12:39
Сообщение #10





Группа: New
Сообщений: 3
Регистрация: 23.12.2015
Пользователь №: 286141



Всем доброго времени суток!
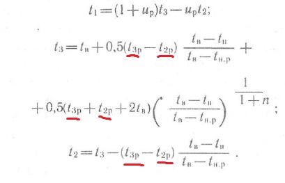
А разве эти формулы не для расчета температур подающего и обратного трубопровода для промежуточных температур (между +8 оС и расч. темп. наружного воздуха)?
тогда как и написано в самом учебнике - индекс "р" означает расчетные условия, если рассчитываются промежуточные температуры графика 95/70, то t3р = 95; t2р = 70.

А вот почему в формуле t3 имеется такой момент "(t3р+t2р+2tв)" я не могу понять, у меня по таким формулам расчеты не сходятся с приведенными в учебнике таблицами... а вот стоит заменить данное выражение на "(t3р+t2р-2tв)" все встает на свои места, и расчеты идеально сходятся.
может кто знает, где правильные формулы указаны? =)

p.s. а есть какой-то СНиП, или другой документ в котором прописана методика расчета, кроме учебников и справочников?
Вернуться в начало страницы
 
+Ответить с цитированием данного сообщения
borm
сообщение 12.5.2016, 13:49
Сообщение #11





Группа: Участники форума
Сообщений: 614
Регистрация: 28.6.2006
Пользователь №: 3267



По мне так вот достойная книженция и график там подробно расписан:

Апарцев Михаил Михайлович
Наладка водяных систем централизованного теплоснабжения - 1983 г.


http://forum.abok.ru/index.php?showtopic=36782
Вернуться в начало страницы
 
+Ответить с цитированием данного сообщения
mdi-29
сообщение 12.5.2016, 14:34
Сообщение #12





Группа: New
Сообщений: 3
Регистрация: 23.12.2015
Пользователь №: 286141



Цитата(borm @ 12.5.2016, 13:49) *
Апарцев Михаил Михайлович
Наладка водяных систем централизованного теплоснабжения - 1983 г.
http://forum.abok.ru/index.php?showtopic=36782


Спасибо, и в этом источнике формула, как я полагаю, правильная стоит, со знаком минус (формула 4.1) smile.gif
Вернуться в начало страницы
 
+Ответить с цитированием данного сообщения

Добавить ответ в эту темуОткрыть тему
1 чел. читают эту тему (гостей: 1, скрытых пользователей: 0)
Пользователей: 0

 

Реклама
ООО «Арктика групп» ИНН: 7713634274




Реклама: ООО «СибСтронг» | ИНН 6670013662 | ERID: 2VtzqvdgiCU

ООО «УНИСПЛИТ» ИНН: 6453155081 erid:2VtzqwGt2gw
Реклама: ООО «СЛ-ЛАЗЕР» ИНН 7727447267 | erid: 2VtzqvY3G2W

Реклама: ООО «НовоКС» | ИНН 6330071530 | erid: 2VtzqwMVijq
Последние сообщения Форума






RSS Текстовая версия Сейчас: 30.11.2025, 6:38
Политика ООО ИИП «АВОК-ПРЕСС» в отношении обработки персональных данных