Цитата(tiptop @ 5.3.2023, 8:51)

Наверное, 327 имел в виду это:
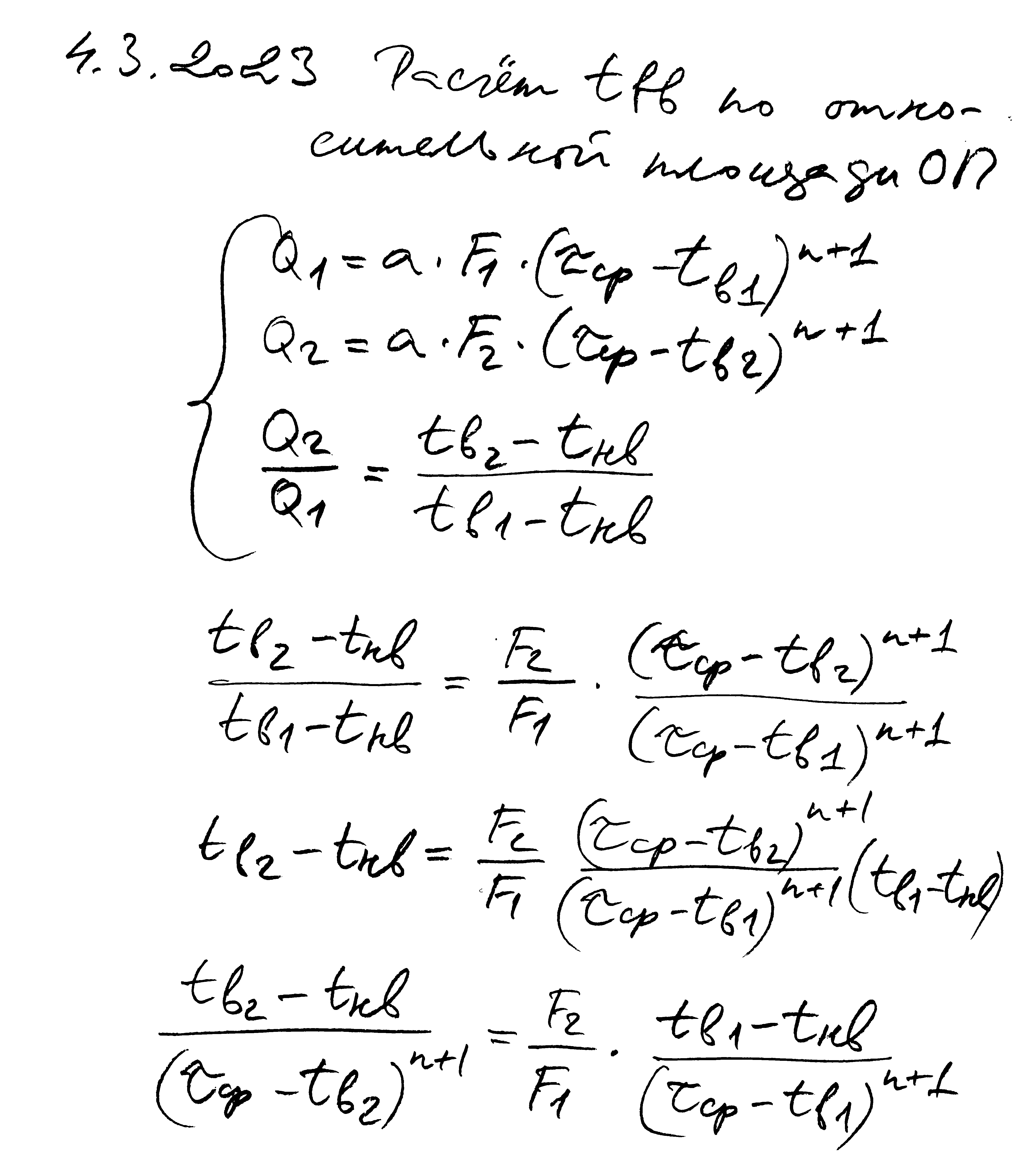
Возможно, но обычно этот коэффициент теплоотдачи обозначают символом "Альфа".
Но, главное, он на расчетную конечную температуру никак не влияет.
Формула приведена для наглядности.
Если (как в таблице) среднюю температуру радиатора принять равной 82,5 град, а температуру наружного воздуха -30, то при уменьшении площади радиатора в 1,2 раза, получим температуру 13,9 град, а при увеличении в 1,2 раза, получим 25,1 град соответственно.
Следует отметить, что в действительности, средняя температура радиатора тоже будет меняться при изменении температуры в помещении, что повлияет на расчет, но в целом, полученные цифры близки к реальности.