Помощь - Поиск - Пользователи - Календарь
Полная версия этой страницы: МДК 4-05.2004 Приложение 3
Диалог специалистов АВОК > ОБЩИЙ ФОРУМ > Отопление
RVR
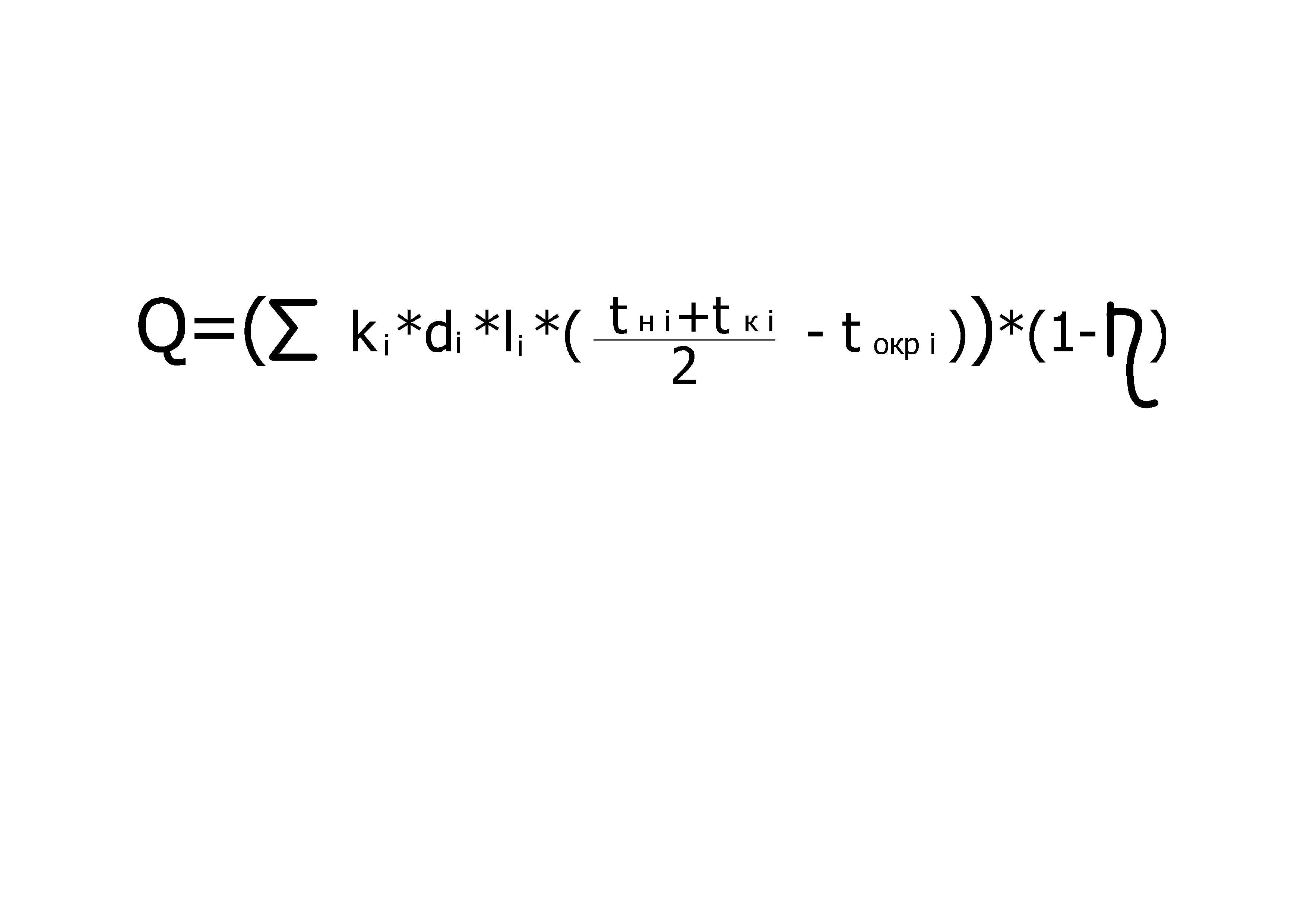
Рассчитываю теплопотери системы горячего водоснабжения по формуле 3.14 Приложения 3 МДК 4-05.2004 (по укрупненной методике).
На мой взгляд размерность величины Qmn получается непонятной. Если сократить размерности получим "ккал/ч "минус" оС". А логично ккал/ч...
Может быть я не прав?
vnvik
По моему формула должна выглядеть так:
Нажмите для просмотра прикрепленного файла
RVR
Спасибо!
Kult_Ra
Ув vnvik!
А кто Вам скажет tk и k ohmy.gif

Один п/м трубы вертикальной "даёт" теплосъём q=2*Power(Tn-T_okr,1.32)*(3.707*Power(RASD,0.847)+0.017)

Потом надо уточнить Tn-T_okr. значить посчитать tk зная g Тогда и будет Ваше (Tn-tk)/2 -T_okr
Q=2*Power((Tn-tk)/2 -T_okr,1.32)*(3.707*Power(RASD,0.847)+0.017)

Для горизонтальной надо умножать примерно на 1.25
Kult_Ra
Бес попутал вертикально-горизонтально, зараза! ohmy.gif

Один п/м трубы горизонтальной "даёт" теплосъём q=2*Power(Tn-T_okr,1.32)*(3.707*Power(RASD,0.847)+0.017)

Потом надо уточнить Tn-T_okr. значить посчитать tk зная g тогда tk:=Tn-Q*L/G
Тогда и будет Ваше (Tn-tk)/2 -T_okr
Q=2*Power((Tn-tk)/2 -T_okr,1.32)*(3.707*Power(RASD,0.847)+0.017) (уточнять при больших длинах труб L для коротких расстояний - можно пренебречь)

Для вертикальной надо разделить примерно на 1.25

Это всё в ккал/час и без учета изоляции. Умножить для ватт на 1.163
vnvik
Уважаемый Kult Ra я только пересортировал скобки в формуле из приведенного автором документа да ещё добавил «i» к t окр. не меняя ничего в приведенной методике.
Как они собирались определять t к мне не ведомо.
Что касается вашего варианта, может без изоляции и ближе к жизни, но московские мечтатели, судя по всему, привели методику для расчёта потерь изолированными трубами, а в этом случае вертикальная труба или горизонтальная значения практически не имеет.
Kult_Ra
Да уж понятно, что Вы поправили "описку копировальщицы".

Документы тех лет готовились готовились специалистами, потом их просматривали "корректорши", а архивную кальку готовили "копировальщицы". Были такие "штатные единицы".
Потом автор бегло просматривал "кальки" и затем изготовлялись "синьки" на "аммиачных" устройствах, что стояли в "Отделах выпуска"

Цитата(vnvik)
может без изоляции и ближе к жизни
Умножайте значение q и Q на КПД изоляции или ещё как пожелается. Для инженерных расчетов она проста и удобна ..
vnvik
Так доля теплоотдачи от поверхности окружающей среде (зависящая от ориентации трубы) значительна в сумме термических сопротивлений, если труба не изолирована.
А если есть изоляция то основное термическое сопротивление в ней, и характеристиками стенки трубы или теплоотдачей с поверхности теплоизоляции можно пренебречь, а следовательно, можно пренебречь и ориентацией трубы. Поэтому я и сделал вывод, что методика предназначена для изолированных труб, хотя расчёт ведётся как для не изолированных а потом умножается на некое (1-кпд для изолированных).
Но БОГ с ней с Москвой, хай считают, как хотят.
А в доме, в котором я живу, изоляции на стояках никогда не было, в подвале изоляция была сорвана много лет назад сантехниками с боевым кличем: "От неё только трубы портятся".
В общем, у кого, что болит тот о том и говорит.
Kult_Ra
Цитата(vnvik)
А в доме, в котором я живу, изоляции на стояках никогда не было, в подвале изоляция была сорвана много лет назад сантехниками с боевым кличем: "От неё только трубы портятся".
В общем, у кого, что болит тот о том и говорит.
Интересные получаются цифры, зараза. Если в СО последовательно считать падение температуры от задвижки источника по ходу до каждого отопительного прибора. Ужос. На семь случается, а то и все 10°С она ниже "расчётной" оказывается. Даже если есть изоляция "типовая" и без "клича", всё равно температура входа в ОП ......

А ежели "клич боевой", то сразу надо на вводе этим "сантехниками " на 10-15-20% забрать у "источника" больше теплоносителя и подать в СО, что б как-то "компенсировать непроизводительные потери теплоты" - "недовложения" в каждую квартиру как в теплосъём с отопительных приборов. И убедить их компенсировать своими деньгами жильцам оплаченные деньжата за тот "клич боевой ".

Хорошо "кличать и бездельничать", ежели всё деятся за чужой счёт.
Для просмотра полной версии этой страницы, пожалуйста, пройдите по ссылке.
Форум IP.Board © 2001-2026 IPS, Inc.