Помощь - Поиск - Пользователи - Календарь
Полная версия этой страницы: Двухтрубная
Диалог специалистов АВОК > ОБЩИЙ ФОРУМ > Отопление
miha25
Извините, возможно тема для песочницы. Хочу сделать такую систему. Примеров не нашел. Возможно так сделать? Объект школа. Причина: не хочу штробить пол.
И еще спор был с ГИПом по поводу труб РР или металл. Я за сталь.
Нажмите для просмотра прикрепленного файла
Спасибо заранее.
BIONDER
можно вполне, у вас же не гравитационка.
jota
На каждом стояке внизу придётся предусмотреть слив. На магистралях наверху - воздухоотводчики.
Если магистрали в неотапливаемом чердаке - нехорошо, большие потери и воздушники могут замёрзнуть....
испытатель
Почитайте по крышным котельным- там обобщается опыт подобной разводки.
miha25
Цитата
можно вполне, у вас же не гравитационка.

Я так и думал, но примеров не нашел и решил обратиться к старшим товарищам)
Цитата
На каждом стояке внизу придётся предусмотреть слив.

А радиатор в качестве слива не пойдет?
Цитата
большие потери и воздушники могут замёрзнуть

Утепление сделаю, а с воздушниками как быть? Я планировал поставить краны, может быть какие то автоматические есть? Я думал краны не замерзнут.
Цитата
Почитайте по крышным котельным

Спасибо почитаю.
Про материал труб: боюсь вандализма, поэтому сталь.

И для опыта: какую систему вы бы сделали в школе 3 этажа + чердак. 3 литеры в форме П.
москвич
вандализма боитесь,а термостаты-первая мишень
miha25
Цитата
вандализма боитесь,а термостаты-первая мишень

Да где то была тема по этому поводу. Съемные головки регулировочные помогут говорят.
Август
Цитата(miha25 @ 20.4.2012, 16:20) *
И еще спор был с ГИПом по поводу труб РР или металл. Я за сталь.

температурный график какой? эти трубы при 80С мало стоят + компенсаторы. Лучше стояки металл, а полипропилен на подводке к радиаторам и зашить (шоб не ковыряли), хотя если польётся то с потолка на головы детям. Лучше всё металл.
У вас экспертиза будет?
miha25
График 95/70. Экспертиза конечно будет.
miha25
Наврал, 115/70.
exe.34
Цитата(miha25 @ 27.4.2012, 18:55) *
Наврал, 115/70.

это у вас во внутрянке такой график? Не думаю , что пройдете экспертизу см. приложение Б СНиП 41-01-2003
miha25
Цитата
это у вас во внутрянке такой график?

Нет. Внутрянка 95/70.
SHULT
в дошкольных по темпиратурному графику почитайте СанПиН 2.4.1.2660-10 Дошкольные учереждения
alexxthrfccs
95 град. не лучшая температура для ПП. Я за сталь, да и не будет мороки с термокомпенсацией. С такими схемами не работал, но под принудиловку не вижу ничего страшного.
miha25
Опыта мало-мало, объект серьезный, сроку 15 дней было (сейчас переправляю для монтажников).
Сомнения у меня как это будет работать. Все таки дети, не ошпарить бы.
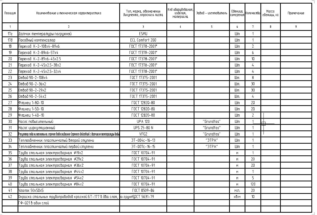
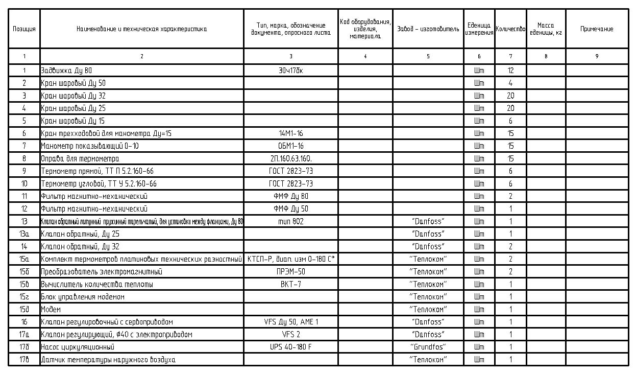
Посмотрите, кому не лень, ИТП. Первый раз делаю закрытую систему. Теплообменники вызывают сомнения.
Нажмите для просмотра прикрепленного файла
Нажмите для просмотра прикрепленного файла
Нажмите для просмотра прикрепленного файла
Нажмите для просмотра прикрепленного файла
Нажмите для просмотра прикрепленного файла
Нажмите для просмотра прикрепленного файла
нагрузка системы отопления 300 кВт;
нагрузка системы вентиляции 25 кВт;
нагрузка системы ГВС 90 кВт.
ГВС двухступенчатая
Тип теплообменника: Пластинчатый разборный теплообменник
Тепловая нагрузка: 90: кВт
Греющая сторона
Тип греющей среды: Вода
Температура среды на входе в ПТО: 130
Температура среды на выходе из ПТО: 70
Нагреваемая сторона
Тип нагреваемой среды: Вода
Температура среды на входе в ПТО: 5
Температура среды на выходе в ПТО: 55
Максимальный часовой расход воды 0,7 м3/ч
Вот что прислали:
Нажмите для просмотра прикрепленного файла
Нажмите для просмотра прикрепленного файла
KYV86
В принципе на такую нагрузку ТО нормальны. Только 90 кВт на ГВС это максимальная суточная или средняя? На однолинейной схеме ГВС отсутствует циркуляционная линия. Она планируется? Или разводка будет тупиковая?
miha25
90 кВт получилось по формуле 11 СНиП 2,04,01-85* "Внутренний водопровод и канализация зданий" тепловой поток максимального водопотребления на нужды горячего водоснабжения в течение часа максимального потребления.
Циркуляция есть, забыл указать на схеме (подключение после первой ступени с обратным клапаном).
Для просмотра полной версии этой страницы, пожалуйста, пройдите по ссылке.
Форум IP.Board © 2001-2026 IPS, Inc.